e-kahkaha Evrim Geçiriyor, haha mı yoksa hehe mi?
Kategori : Teknoloji
Dünyanın en popüler sosyal paylaşım platformu Facebook'ta fotoğrafların, videoların altına bir günde milyonlarca yorum atılıyor. Yorumlarda duygularımızı belli etmek için farklı kahkaha ve emojilerden yararlanıyoruz.
Peki yıllar geçtikçe e-kahkaha değişiyor mu? Bu sorunun cevabı EVET. Eskiden kullanılan XD, lol, hehe gibi e-kahkahalar artık yerini haha ve emojilere bırakmış görünüyor.
Facebook araştırma ekibi geçtiğimiz aylarda e-kahkaha kullanımı hakkında bir araştırma yaptı ve bu araştırma sonucunda e-kahkahanın evrim geçirdiği ortaya çıktı. Ayrıca Facebook'u kullanan kişilerin yaşlarına ve cinsiyetlerine göre de e-kahkahaların değişim gösterdiği araştırmanın bize gösterdiği sonuçlar arasında.

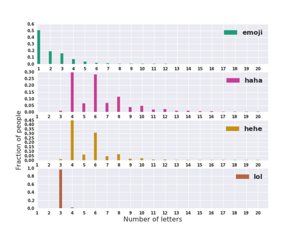
Bu ilginç araştırmada en sık kullanılan kahkaha şeklinin haha olduğu ve hemen ardından bir emoji eklendiği gözleniyor. Araştırma sonuçları bunlarla sınırlı kalmıyor, yaş, cinsiyet ve coğrafi konumu kahkahanın tipi ve uzunluğunu etkiliyor.
Örneğin gençler ve kadınlar emojileri daha sık kullanırken, erkekler daha uzun hehehe'leri tercih ediyor. Chicago ve New York'ta yaşayan insanlar emojileri tercih ederken, Seattle ve San Fransisco'da yaşayanlar ise haha'ları tercih ediyor.

Araştırmaya göre araştırma yapılan insanların %51.4'ü haha ve türlerini (hahahah, haahhah, ahah gibi) kullanmayı tercih ediyor. kitlenin %33.7'si emoji'leri tercih ediyor. Geriye kalan kitlenin %13'ü hehe kullanırken kalan %1.9 ise lol kullanıyor.
Ayrıca "ha" kelimesi adeta bir lego parçası gibi kullanılıyor ve diğer kahkahaların aksine haha'yı tercih eden kişiler kahkahalarını hahahahahahaha şekilnde uzatmayı tercih ediyor. 5 farklı emojiyi ard arda kullanan insanlar ise çok nadir sayıda. Emojiler belkide bizlere farklı kahkaha formlarını kullanabilmemizi sağlıyordur.
